Advanced Search

2025 Vol. 7, No. 42

Preplanned Studies
Antibody Levels Against Mumps Virus in Children After Implementation of the Two-Dose MMR Vaccine Policy — Fujian Province, China, 2023
Zhifei Chen, Rui Chen, Ruihong Wu, Suhan Zhang, Xiuhui Yang, Weiyi Pan, Hairong Zhang, Mengping Zhang, Yong Zhou, Dong Li
2025, 7(42): 1315-1320. doi: 10.46234/ccdcw2025.223
Abstract(4403) HTML (55) PDF 339KB(11)
Abstract:
What is already known about this topic?

The Measles-Mumps-Rubella (MMR) vaccine plays a crucial role in preventing mumps. Before the implementation of the two-dose MMR vaccine policy, baseline data on mumps virus antibody seroprevalence and geometric mean concentrations (GMCs) among children and adolescents in Fujian Province were available.

What is added by this report?

This report provides a post-policy evaluation following the introduction of Fujian’s two-dose MMR policy in June 2020. The 2023 survey shows an overall seroprevalence of 79.53% and a GMC of 265.61 U/mL. Compared with 2018, significant improvements were observed in children under 2 years; however, a concerning decline was noted among adolescents aged 15–17 years. Antibody levels peaked shortly after vaccination, and two doses were found to confer significantly higher immunity than one dose within a 270-day period.

What are the implications for public health practices?

The two-dose MMR policy has been effective in improving early childhood immunity. However, the observed waning immunity in adolescents underscores the urgent need for ongoing serological surveillance, particularly in individuals aged 6–19 years, to inform potential recommendations for booster vaccinations.

Impact of PCV13 Vaccination on Pharyngeal Detection of Streptococcus pneumoniae Among Children — Suqian City, Jiangsu Province, China, February 2023–February 2025
Lisha Ma, Mingwei Wei, Tao Wu, Ran Tao, Jinbo Gou, Yue Liu, Manrong Zhang, Mengjuan Yuan, Lunbiao Cui, Jingxin Li
2025, 7(42): 1321-1328. doi: 10.46234/ccdcw2025.222
Abstract(4294) HTML (51) PDF 382KB(2)
Abstract:
What is already known on this topic?

Pneumococcal conjugate vaccines (PCVs), including the 13-valent PCV (PCV13), effectively reduce the nasopharyngeal carriage of vaccine-type Streptococcus pneumoniae (S. pneumoniae) and prevent invasive pneumococcal disease in children. However, an increasing prevalence of non-vaccine serotypes and serotype replacement has been documented globally, with notable variations in the predominant replacement serotypes across different geographic settings.

What is added by this report?

This study demonstrated that PCV13 vaccination significantly reduced the pharyngeal detection of S. pneumoniae among children with acute respiratory infections, with three to four doses decreasing the detection rate by 30.2%. This reduction encompassed both vaccine and non-vaccine serotypes. Additionally, non-PCV13 serotypes, particularly 10A and 15A/15F, were predominant in positive samples, underscoring the current dominance of non-vaccine serotypes in the study population.

What are the implications for public health practice?

The PCV13 program successfully reduced pneumococcal detection rates, particularly among children who complete the 3–4 dose series. Continued surveillance of circulating S. pneumoniae serotypes is essential to monitor serotype replacement patterns and develop future vaccination strategies.

Protective Effect and Immune Mechanism of EPCP009 Booster Immunization after BCG Prime Immunization Against Tuberculosis in Mice — China, 2024
Ruihuan Wang, Xueting Fan, Machao Li, Xiuqin Zhao, Xinyue He, Kanglin Wan, Haican Liu
2025, 7(42): 1329-1336. doi: 10.46234/ccdcw2025.225
Abstract(3744) HTML (50) PDF 6529KB(1)
Abstract:
What is already known about this topic?

At present, relatively few theoretical studies exist on the immunization strategies of tuberculosis vaccines, especially regarding the types of subunit protein vaccines suitable for combined application with Bacillus Calmette–Guérin (BCG).

What is added by this report?

The study demonstrated that EPCP009, a novel subunit vaccine candidate, maintains BCG colonization in murine spleens while enhancing protection. Notably, a single dose of EPCP009 combined with BCG was superior to multiple doses in terms of both short-term (6-week) and long-term (12-week) protection.

What are the implications for public health practice?

These studies provide a theoretical basis for enhancing the immune strategy of tuberculosis vaccines and contribute to the development of combined BCG and subunit protein vaccines.

Methods and Applications
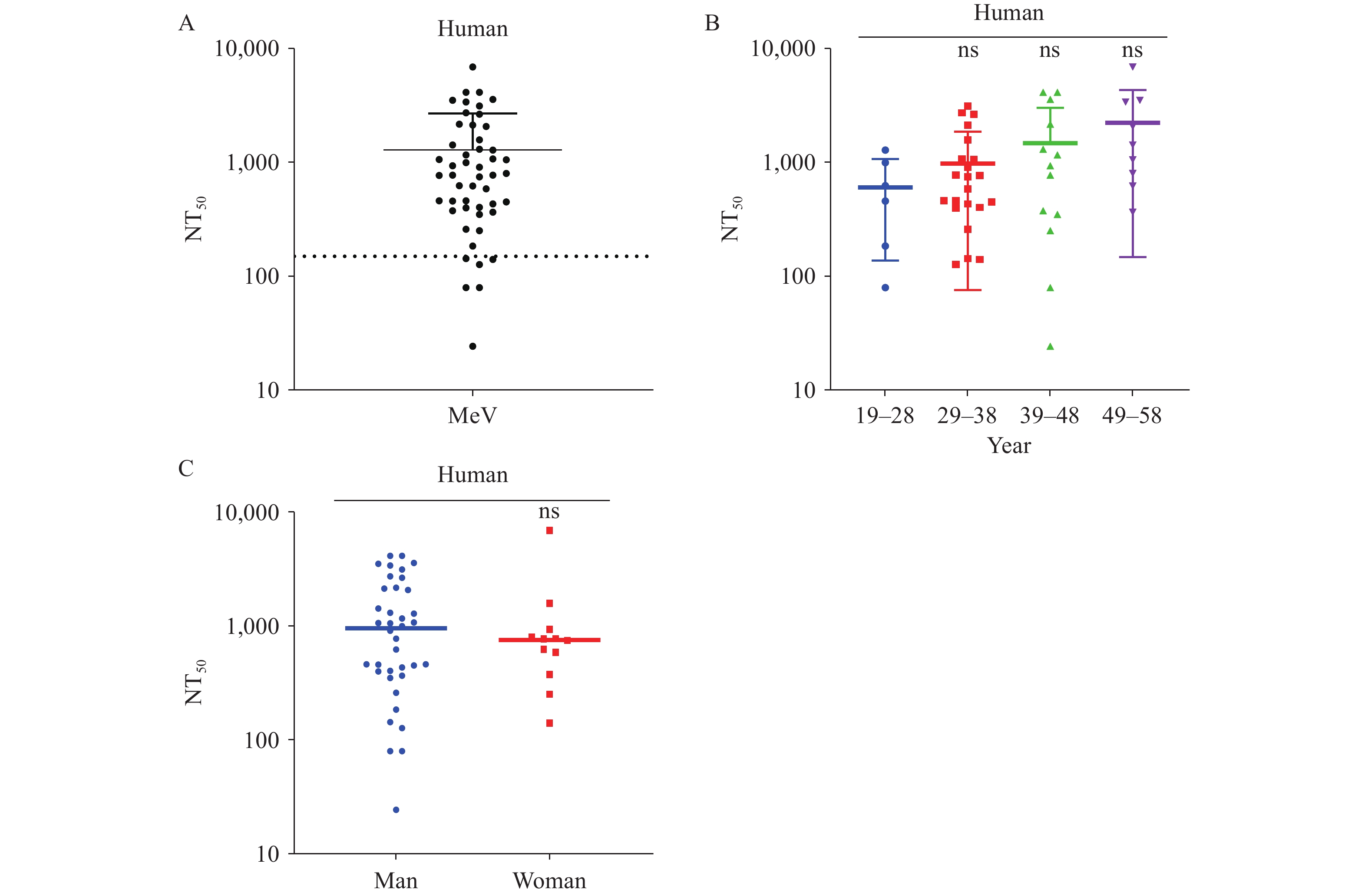
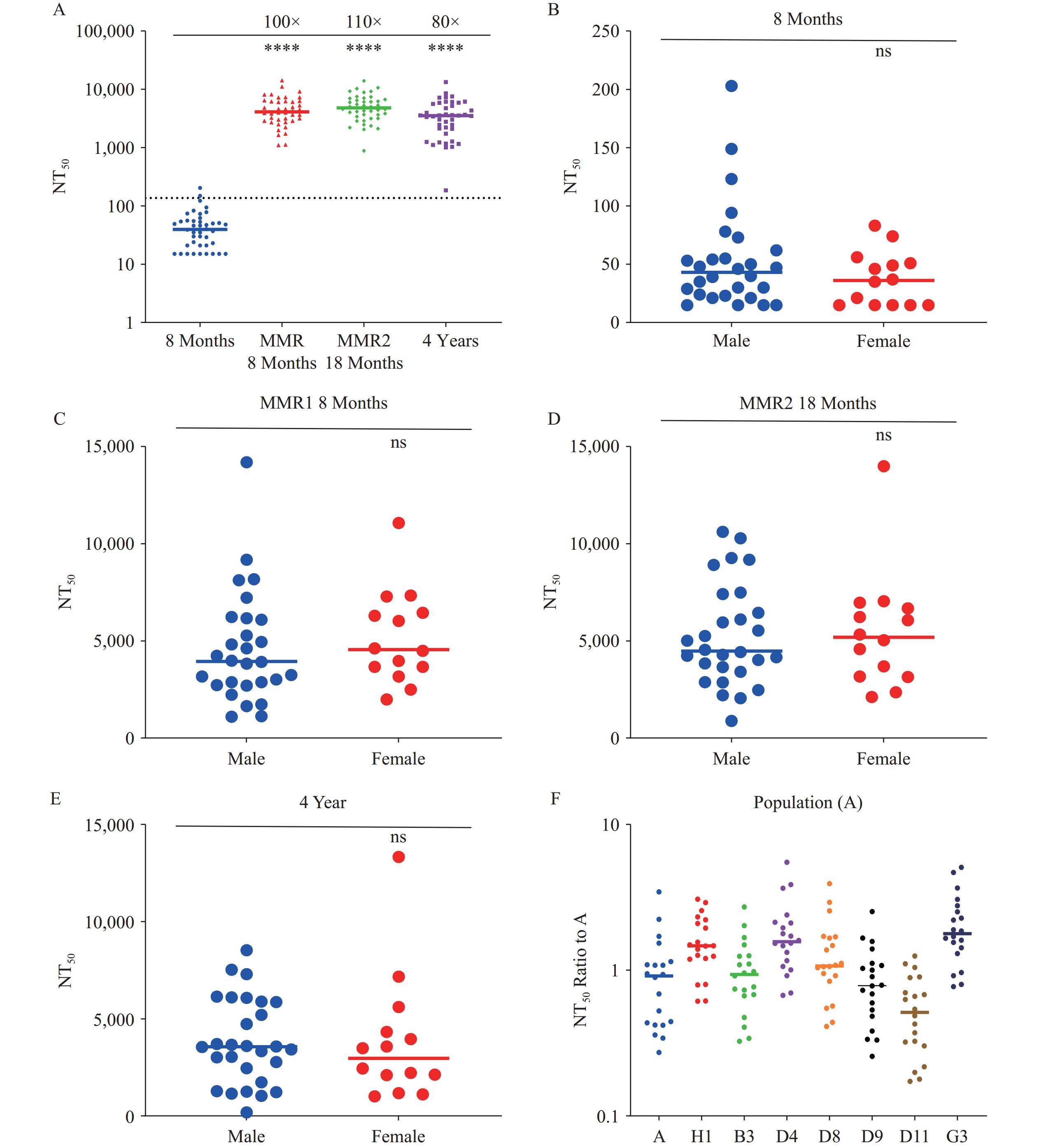
Evaluation of Measles Vaccine Immunogenicity and Durability Using A Pseudotyped Virus Neutralization Assay
Qi Jiang, Xi Wu, Jie Zhang, Huiling Wang, Fangyu Dong, Xuelian Wu, Pengju Yu, Jianhui Nie, Youchun Wang, Weijin Huang, Jiuyue Zhou, Yaru Quan, Yan Zhang, Suting Wang, Juan Li
2025, 7(42): 1337-1346. doi: 10.46234/ccdcw2025.224
Abstract(5281) HTML (50) PDF 1472KB(3)
Abstract:
Introduction

This study aimed to establish a robust method for monitoring measles vaccine-induced immunity and assessing population-level serostatus.

Methods

This study constructed a vesicular stomatitis virus (VSV)-based pseudotyped virus system expressing envelope proteins from seven major circulating measles genotypes (H1, B3, D4, D8, D9, D11, G3) and the Schwarz vaccine strain (genotype A), thereby enabling a high-throughput neutralization assay for antibody detection.

Results

Vaccination induced a substantial increase in neutralizing antibody geometric mean titers (GMT) post-immunization (4,808 after the first dose; 5,326 after the second dose), with antibody levels remaining elevated in 4-year-old children (GMT: 3,834). Cross-neutralization activity against different genotypes varied by less than 6.4-fold, demonstrating broad protective immunity. However, 12% of adult sera tested were seronegative, revealing the presence of susceptible populations.

Conclusions

This study confirms the robust immunogenicity of the current measles vaccine and establishes a valuable tool for serosurveillance and long-term immunity assessment.