Advanced Search

2026 Vol. 8, No. 10

Foreword
Perspectives
Improving Equitable Access to Antenatal Care in China: Challenges and Potential Innovative Approaches
Yue Dai, Xinrui Shi, Owais Tariq, Lingyun Jiang, Jialu Qu, Yan Wei, Jinkou Zhao, Nicolas Ray
2026, 8(10): 262-267. doi: 10.46234/ccdcw2026.042
Abstract(2978) HTML (39) PDF 376KB(1)
Abstract:

Achieving equitable antenatal care (ANC) is fundamental to China’s ‘Healthy China 2030’ agenda and its universal health coverage (UHC) commitments. Despite measurable national progress, substantial urban-rural and regional disparities in ANC access persist, driven by a complex interplay of financial, geographic, institutional, and digital barriers that disproportionately affect rural, low-income, and migrant populations. This analysis examines the current landscape of ANC in China, identifying core structural challenges including the enduring legacy of the hukou (household registration) system, a widening digital divide, and the maldistribution of healthcare resources. We contend that piecemeal interventions are insufficient to address these deeply rooted inequities. Instead, this Viewpoint advances an integrated ‘spatial-technology-institutional’ strategy that synergizes innovations across three mutually reinforcing domains: optimizing tiered healthcare delivery through smart payment reforms, deploying geospatial tools for evidence-based resource allocation, constructing an inclusive digital ANC ecosystem, and establishing sustainable talent incentive mechanisms for grassroots healthcare workers. By implementing this coordinated, multi-pronged approach, China can systematically dismantle geographic inequities in maternal health and ensure equitable ANC access for all women.

Vital Surveillances
Longitudinal Trajectories of Growth and Development in HIV-Exposed Uninfected Children from a Long-Term Birth Cohort — 8 Regions, 3 PLADs, China, 2017–2024
Xinwei Li, Yanli Cao, Jiahan Zou, Chenxi Zhu, Xiaoyan Wang, Ailing Wang, Qian Wang
2026, 8(10): 268-275. doi: 10.46234/ccdcw2026.043
Abstract(2679) HTML (41) PDF 282KB(9)
Abstract:
Objective

This study examined growth and development trajectories in Human Immunodeficiency Virus (HIV) exposed children aged 0–3 years, identified key influencing factors, and generated evidence to support early developmental promotion in this population.

Methods

This prospective cohort study enrolled pregnant women who delivered between January 2017 and June 2021 and followed their infants until 3 years of age. Participants were drawn from a mother-to-child HIV transmission cohort established across Guangxi Zhuang Autonomous Region, Yunnan Province, and Xinjiang Uygur Autonomous Region. Chi-square tests were used to compare differences between groups, and generalized estimating equations (GEE) were applied to identify factors influencing growth and nutritional outcomes in HIV-exposed children.

Results

The cohort comprised 1,227 mother-child pairs: 411 in the exposed group (HIV-infected mothers) and 816 in the control group (non-HIV-infected mothers). The malnutrition rate among HIV-exposed children in the study regions was 12.00%. Relative to the control group, HIV-exposed children demonstrated significantly lower height and weight gains and a higher prevalence of malnutrition (P<0.05). GEE analysis identified a household per capita monthly income exceeding 3,000 yuan as a protective factor against malnutrition [adjusted odds ratio (aOR)=0.924, 95% confidence interval (CI): 0.877, 0.974], while a maternal history of stillbirth (aOR=1.055, 95% CI: 1.008, 1.104) and neonatal low birth weight (aOR=1.377, 95% CI: 1.267, 1.497) were independent risk factors across all follow-up periods. Female sex was also associated with a modestly elevated risk of malnutrition compared with male sex (aOR=1.048, 95% CI: 1.017, 1.079).

Conclusions

HIV-exposed children in the study regions demonstrated modestly poorer overall growth and development compared with non-exposed peers. These findings underscore the importance of targeted nutritional interventions, early developmental surveillance, and timely correction of growth abnormalities in this vulnerable population.

Preplanned Studies
Shifting Patterns of Anemia Prevalence and Severity Among Urban Women — China, 2019–2024
Xiaoxi Liu, Yaxin Xing, Sailimai Man, Heling Bao, Yining Zu, Canqing Yu, Jun Lv, Linhong Wang, Bo Wang, Liming Li, Hui Liu
2026, 8(10): 276-283. doi: 10.46234/ccdcw2026.046
Abstract(2264) HTML (29) PDF 433KB(3)
Abstract:
What is already known about this topic?

The Sustainable Development Goals target a 50% reduction in anemia among women of reproductive age by 2025 and the elimination of all forms of malnutrition by 2030. However, robust evidence documenting temporal changes in anemia prevalence remains scarce.

What is added by this report?

Drawing on large-scale national health examination data, this report demonstrates overall progress in reducing anemia among urban women in China between 2019 and 2024. However, it also reveals increasing prevalence in several provinces and a growing burden of moderate-to-severe anemia specifically among women aged 40–49 years.

What are the implications for public health practice?

Risk-stratified and targeted anemia prevention and control strategies are urgently needed. Priority should be given to women aged 40–49 years, women of reproductive age residing in high-burden provinces, and geographic areas where anemia prevalence either exceeds 20% or demonstrates an upward trend.

Menstrual Characteristics and the Risk of Spontaneous Abortion — 9 PLADs, China, 2013–2024
Tsomo Tenzin, Yumei Wei, Yiyao Jin, Jiaxin Li, Xiaowei Wang, Shenfengxiang Feng, Xinyi Lyu, Yuanyuan Xiong, Hanbin Wu, Jueming Lei, Jihong Xu, Yuan He, Yuanyuan Wang, Ya Zhang, Hongguang Zhang, Ying Yang, Xu Ma
2026, 8(10): 284-292. doi: 10.46234/ccdcw2026.045
Abstract(2326) HTML (177) PDF 498KB(1)
Abstract:
What is already known about this topic?

Menstrual irregularity is a hallmark clinical feature of polycystic ovary syndrome (PCOS), which is an established risk factor for spontaneous abortion. However, robust population-level evidence directly linking specific patterns of menstrual irregularity to spontaneous abortion risk remains lacking, as prior studies have been limited by small sample sizes.

What is added by this report?

This nationwide study of 3.9 million women demonstrates that abnormal menstrual characteristics — including irregular menstrual cycles and abnormal menstrual period duration — are independent risk factors for spontaneous abortion, each exhibiting a dose-response relationship. The co-occurrence of long cycles and prolonged periods confers the highest overall risk.

What are the implications for public health practice?

These findings offer a scientific basis for formulating public health policies aimed at reducing spontaneous abortion (SA) risk, particularly in resource-limited settings. Menstrual characteristics constitute a simple, low-cost, and readily accessible tool for stratifying SA risk across the perinatal continuum — from preconception counseling through early pregnancy management.

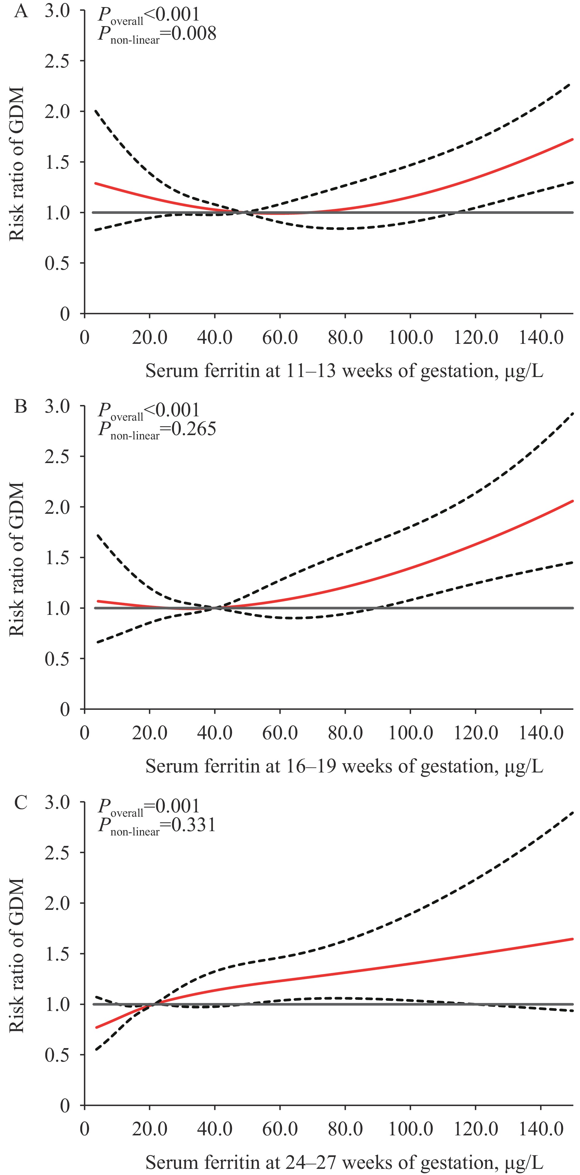
Association Between Longitudinal Serum Ferritin and Gestational Diabetes Mellitus — Beijing, Shanxi, and Shandong PLADs, China, 2021–2024
Xueyin Wang, Xiaosong Zhang, Juan Juan, Di Gao, Meihua Zhang, Yue Teng, Qiuhong Yang, Huixia Yang
2026, 8(10): 293-298. doi: 10.46234/ccdcw2026.044
Abstract(2288) HTML (85) PDF 426KB(1)
Abstract:
What is already known about this topic?

Elevated ferritin levels have been associated with increased insulin resistance, impaired insulin secretion, and heightened risk of type 2 diabetes in non-pregnant populations. However, the relationship between ferritin concentrations and the development of gestational diabetes mellitus (GDM) remains poorly understood.

What is added by this report?

This study identified a U-shaped association between serum ferritin measured at 11–13 weeks of gestation and GDM risk, demonstrating that both low and high ferritin levels predict increased GDM incidence. Additionally, elevated ferritin concentrations at 16–19 weeks and 24–27 weeks of gestation were independently associated with greater GDM risk.

What are the implications for public health practice?

These findings underscore the critical importance of monitoring serum ferritin throughout the first and second trimesters for early identification and prevention of GDM. Enhanced strategies are needed to improve clinical understanding and optimize the utility of ferritin assessment in prenatal care.