Advanced Search

2025 Vol. 7, No. 45

Recollections
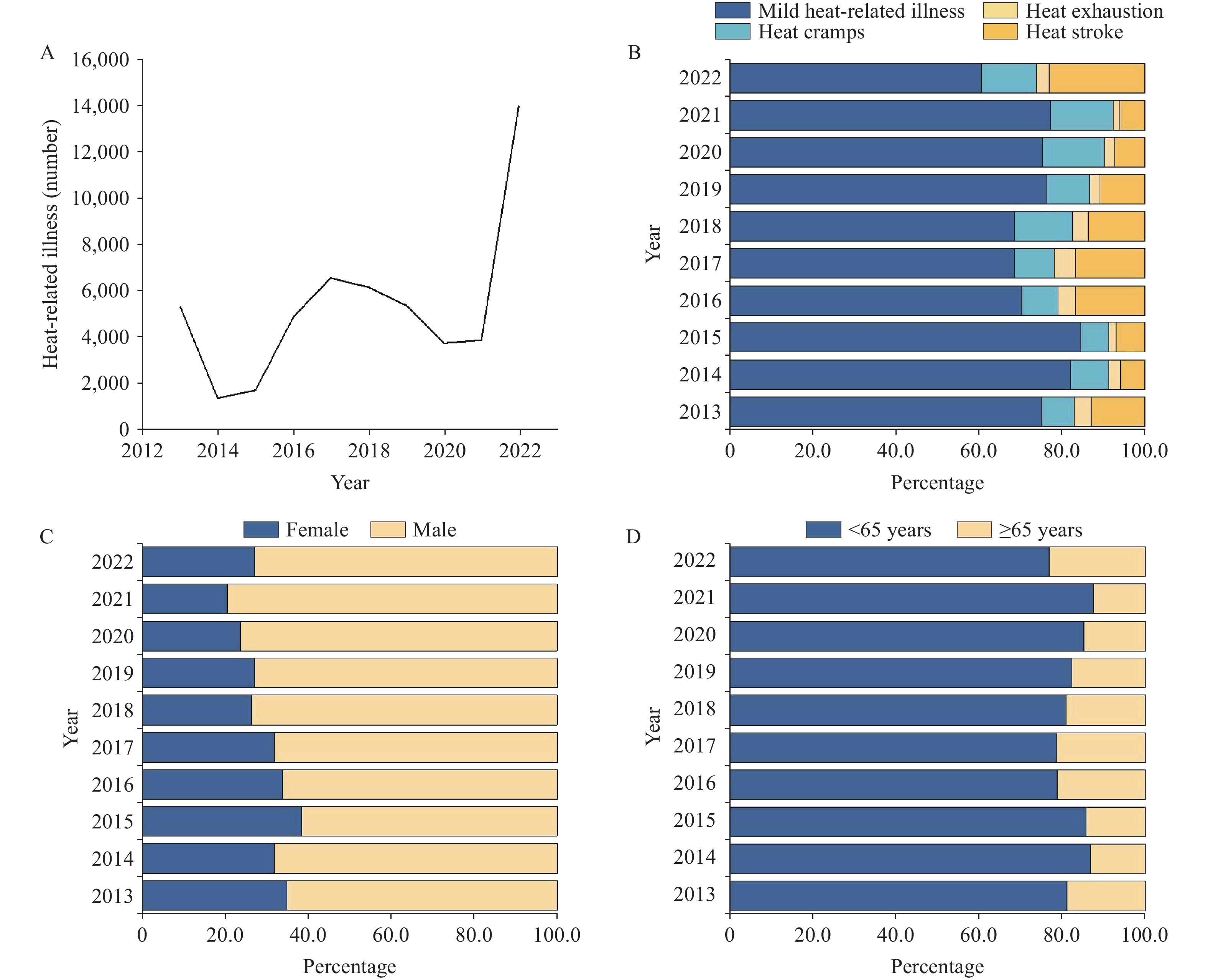
Reflections on the Evolution of Heat Alert Systems into Heat Health Risk Warning Systems
Taiyuan Zhang, Yuxin Zeng, Yu Lan, Qinghua Sun, Pengran Qi, Min Li, Tiantian Li
2025, 7(45): 1409-1412. doi: 10.46234/ccdcw2025.236
Abstract(3736) HTML (63) PDF 150KB(5)
Abstract:

The frequent occurrence of extreme heat events in the context of global warming poses a serious threat to public health. Increasing evidence has highlighted the limitations of China’s traditional early heat warning system, including an overemphasis on meteorological factors, the absence of health risk assessments, limited regional adaptability, and a disconnect between observations and public perception. These shortcomings hinder the ability of the system to meet the growing demand for precise health protection warnings and initiatives. Consequently, the development of an early warning system that focuses on the health risks of high temperatures has emerged as a critical strategy for addressing climate change-related health impacts. This study systematically reviews the existing standards and service limitations of heat warning systems in China and analyzes the necessity of advancing research on and applications of health-oriented heat risk warnings. In the future, the broader social scope of such meteorological warning systems is expected to transform them into health risk assessment systems that benefit the entire population.

Vital Surveillances
County-Level Hotspot Identification and Spatial Regression Analysis of Health Loss from Kashin–Beck Disease — China, 2019 and 2023
Ying Liu, Fang Qi, Haoyu Du, Haonan Li, Shicong Zheng, Qian Yu, Hexuan Dong, Chenxi Wang, Jiaxin Li, Yue Zhao, Jiayuan Li, Jun Yu
2025, 7(45): 1418-1423. doi: 10.46234/ccdcw2025.237
Abstract(4383) HTML (53) PDF 500KB(2)
Abstract:
Introduction

We analyzed the spatial distribution of years lived with disability (YLDs) among patients with Kashin–Beck disease (KBD) at the county level across the country, identified hotspot regions and the primary areas of disease burden. This provides a foundation for the prevention and control of KBD and the rational allocation of healthcare resources to regions with high disease burden.

Methods

The data were obtained from the National KBD Surveillance System. Spatial autocorrelation analysis was conducted to assess spatial clustering and to identify hotspots of YLDs in patients with KBD. Geographically weighted regression (GWR) models were used to identify counties with limited economic and healthcare resources and a high burden of health losses.

Results

Spatial aggregation of YLDs among patients with KBD was observed nationwide, with hotspots concentrated in diseased counties in western China, including Shaanxi, Gansu, and Sichuan, and in the northern regions of Heilongjiang and Inner Mongolia. Among the variables, the number of health technicians was negatively correlated with the YLD rate of patients with KBD across 2 years (P<0.05). Significant geographical differences were found in the spatial distribution of YLDs, with key disease burden areas in 85 northern counties, including Heilongjiang, Jilin, and Inner Mongolia, and 145 western counties, including Shaanxi, Shanxi, and other provincial-level administrative divisions.

Conclusions

YLDs among patients with KBD at the county level in China demonstrated spatial clustering, with hotspots primarily in the western regions. Strengthening the recruitment and training of health professionals in high-burden, underserved areas may help improve the quality of life of patients.

Preplanned Studies
Development of a Landscape Pattern Health Index and Association with Stroke Mortality Using GWQS Regression — Ningbo City, Zhejiang Province, China, 2001–2023
Qinsheng Kong, Jing Huang, Tianfeng He, Guoxing Li
2025, 7(45): 1424-1428. doi: 10.46234/ccdcw2025.239
Abstract(3350) HTML (48) PDF 477KB(2)
Abstract:
What is already known about this topic?

Urban landscape patterns influence population health and are traditionally measured using landscape indices. However, current indices suffer from a single-dimensional focus, multicollinearity, and limited health relevance.

What is added by this report?

Using a two-stage Generalized Weighted Quantile Sum (GWQS) regression, we developed a Landscape Pattern Health Index (LPHI), integrating composition/configuration metrics. This index revealed seasonal protective/hazard effects and represents a holistic tool for assessing urban landscape health impacts.

What are the implications for public health practice?

The LPHI identifies high-risk areas and seasonal priorities, thereby guiding targeted interventions to mitigate health risks through landscape optimization.