Advanced Search

2025 Vol. 7, No. 10

Foreword
Preplanned Studies
Cervical Cancer Screening Rates Among Chinese Women — China, 2023–2024
Mei Zhang, Limin Wang, Xiao Zhang, Chun Li, Zhenping Zhao, Mengting Yu, Maigeng Zhou, Jing Wu, Linhong Wang
2025, 7(10): 321-326. doi: 10.46234/ccdcw2025.052
Abstract(15875) HTML (89) PDF 250KB(21)
Abstract:
What is already known about this topic?

The Chinese government has established targets for cervical cancer screening coverage among women of appropriate age: 50% by 2025 and 70% by 2030. Previous data from 2018–2019 indicated that 36.8% of women aged 35–64 years had been screened in China.

What is added by this report?

In 2023–2024, screening rates reached 51.5% among women aged 35–64 years, 57.9% among women aged 35–44 years, and 36.8% among women aged 20 years and above. Rural screening coverage (48.2%) approached but remained slightly below the 50% target. Several regions, particularly in the Eastern, Central, and Southern regions have achieved the 2025 target. Significant determinants of low cervical cancer screening coverage among Chinese women encompassed lower educational attainment, unemployment status, limited household income, lack of health insurance coverage, and absence of health check-ups.

What are the implications for public health practice?

Intensified implementation of the Action Plan to Accelerate Elimination of Cervical Cancer is needed, particularly in rural areas with suboptimal screening rates. Enhanced health education and service delivery should target women of lower socioeconomic status to facilitate their active participation in screening programs.

Association Between High-Risk Human Papillomavirus Infection and Cervical Cytology in Health Check-Up Women — 23 PLADs, China, 2023
Di Gao, Gengli Zhao, Xueyin Wang, Juan Juan, Yupeng Shi, Taoye Xu, Yue Wang, Linhong Wang, Xiaosong Zhang
2025, 7(10): 327-333. doi: 10.46234/ccdcw2025.053
Abstract(9117) HTML (84) PDF 312KB(15)
Abstract:
What is already known about this topic?

Previous studies have documented the prevalence and distribution of human papillomaviruses (HPV) infection. However, there is limited current nationwide data on HPV distribution across different cytological conditions in recent years.

What is added by this report?

This nationwide, cross-sectional study reveals that detection rates of HR-HPV infection and abnormal cytology among women undergoing health check-ups remain relatively high in China. Among women with abnormal cervical cytology, HPV-16 was the most prevalent HR-HPV genotype, followed by HPV-58 and HPV-52.

What are the implications for public health practice?

These findings, based on a large population sample across China, provide critical insights into current cervical cancer screening outcomes and can inform the development of HPV genotype-specific vaccination and screening strategies to reduce cervical cancer burden.

Prevalence and Severity of Menopausal Symptoms in Women of Different Ages — China, 2023–2024
Zhenghua Yong, Yehuan Yang, Yilin Yang, Li Yang, Yanxia Zhao, Xiaomin Luo, Mengke Yan, Ruimin Zheng
2025, 7(10): 334-340. doi: 10.46234/ccdcw2025.054
Abstract(18561) HTML (173) PDF 365KB(25)
Abstract:
What is already known about this topic?

During menopause, women frequently experience a spectrum of physical, mental, and psychological symptoms due to declining ovarian function and fluctuating estrogen levels. There has been a notable absence of systematic, large-scale cross-sectional studies examining menopausal symptoms among Chinese women in recent years.

What is added by this report?

This study examines menopausal symptoms in Chinese women aged 40–60 years, documenting an overall prevalence of 46.3%. The three most commonly reported symptoms are insomnia (50.0%), fatigue (48.2%), and nervousness (46.9%). The prevalence of menopausal symptoms begins to increase in women over age 44, reaching its peak at age 52. Statistically significant differences in symptom severity exist between premenopausal and postmenopausal women within the 45–49 and 50–54 year age groups.

What are the implications for public health practice?

This study represents the first comprehensive large-scale investigation of menopausal symptoms in Chinese women. The findings demonstrate that symptom prevalence varies with age, providing an evidence base for developing targeted health management strategies and interventions specific to different age groups, ultimately enhancing the physical and mental well-being of women experiencing menopause.

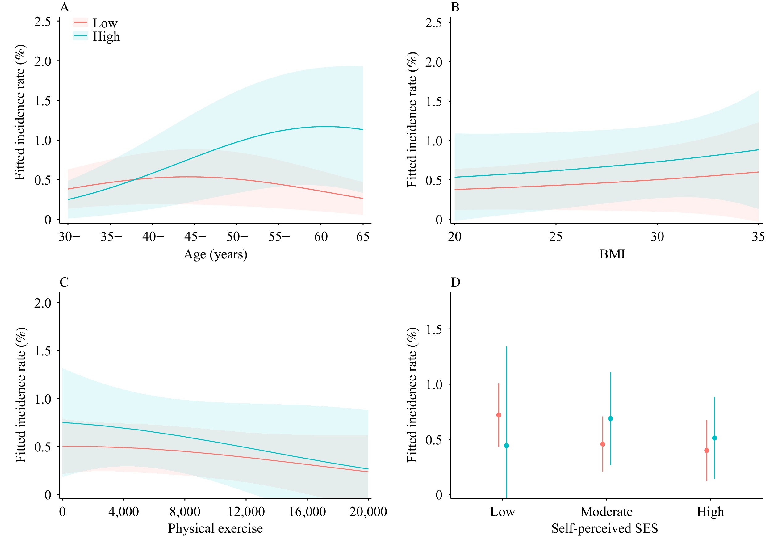
Female Breast Cancer Incidence and Association with Socioeconomic Status in a Population-Based Cohort — China, 2018–2024
Heling Bao, Liwen Fang, Shu Cong, Xiaolei Guo, Zhentao Fu, Xiaoli Liu, Weiwei Shi, Hongjian Liu, Hui Liu, Xuening Duan, Linhong Wang
2025, 7(10): 341-346. doi: 10.46234/ccdcw2025.055
Abstract(11020) HTML (65) PDF 348KB(12)
Abstract:
What is already known about this topic?

Breast cancer has emerged as the most prevalent cancer among women globally and is increasingly affecting younger populations. However, the relationship between individual socioeconomic status (SES) and breast cancer risk remains incompletely understood.

What is added by this report?

This population-based cohort study revealed a breast cancer incidence rate of 48.9 per 100,000 person-years. Women with high SES demonstrated a significantly elevated risk of breast cancer compared to those with low SES [hazard ratio (HR)=1.42, 95% confidence interval (CI): 1.05, 1.92]. Self-perceived SES appeared to moderate this association, with an increased breast cancer risk particularly evident among women who had both low objectively assessed and self-perceived SES.

What are the implications for public health practice?

These findings underscore the need for tailored breast cancer screening programs and targeted health education initiatives that account for differences across SES groups.

Detection and BI-RADS Classification of Breast Nodules in Urban Women — China, 2021
Xiaoxi Liu, Yaxin Xing, Yining Zu, Heling Bao, Xue Ding, Yongchao Chen, Canqing Yu, Jun Lyu, Linhong Wang, Bo Wang, Sailimai Man, Liming Li, Hui Liu
2025, 7(10): 347-352. doi: 10.46234/ccdcw2025.056
Abstract(10694) HTML (66) PDF 955KB(9)
Abstract:
What is already known about this topic?

Female breast nodules represent the most frequently detected lesions during breast ultrasound screening. Notably, nodules classified as Breast Imaging Reporting and Data System (BI-RADS) 4 or 5 indicate an elevated risk of breast cancer. Nevertheless, the detection rate and BI-RADS classification of female breast nodules in China remain largely undocumented.

What is added by this report?

In 2021, breast nodules were detected in 27.9% of urban women in China. Among women with breast nodules marked with BI-RADS classification information, 95.9% were categorized as BI-RADS 2–3, while 4.0% were classified as BI-RADS 4–5. Age, geographic location, per capita gross domestic product (GDP), body mass index (BMI), high triglyceride (TG), high low-density lipoprotein cholesterol (LDL-C), and diabetes were identified as risk factors for BI-RADS 4–5.

What are the implications for public health practice?

This study highlights the importance of managing high-risk women with breast nodules through BI-RADS classification. Women with older age, high TG, high LDL-C, or diabetes demonstrate higher detection rates of BI-RADS 4–5, underscoring the need for targeted health interventions for high-risk populations while accounting for regional and socioeconomic disparities.