Advanced Search

2025 Vol. 7, No. 40

Foreword
Preplanned Studies
Association Between Refractive Status and Ocular Biometric Parameters Among Children and Adolescents — 10 PLADs, China, 2020–2024
Ruoyi Gao, Huijuan Luo, Yaqing Meng, Liru Wang, Suyun Li, Bingjie Sun, Xin Guo
2025, 7(40): 1267-1271. doi: 10.46234/ccdcw2025.214
Abstract(4103) HTML (534) PDF 242KB(7)
Abstract:
What is Already Known About This Topic?

Myopia prevalence among Chinese students remains persistently high, with axial length and the axial length-to-corneal radius ratio demonstrating significant associations with refractive status in children and adolescents.

What Is Added by This Report?

This investigation employed cycloplegic optometry to assess refractive errors across children and adolescents in 10 provincial-level administrative divisions, utilizing axial length (AL) and axial length-to-corneal radius ratio (AL/CR) as predictive indicators of refractive status.

What Are The Implications For Public Health Practice?

The AL/CR ratio demonstrates superior predictive accuracy for myopia compared to AL alone and can effectively identify at-risk children during early developmental stages. Incorporating routine monitoring of AL and AL/CR into school health programs can enhance early detection capabilities and support targeted myopia management strategies.

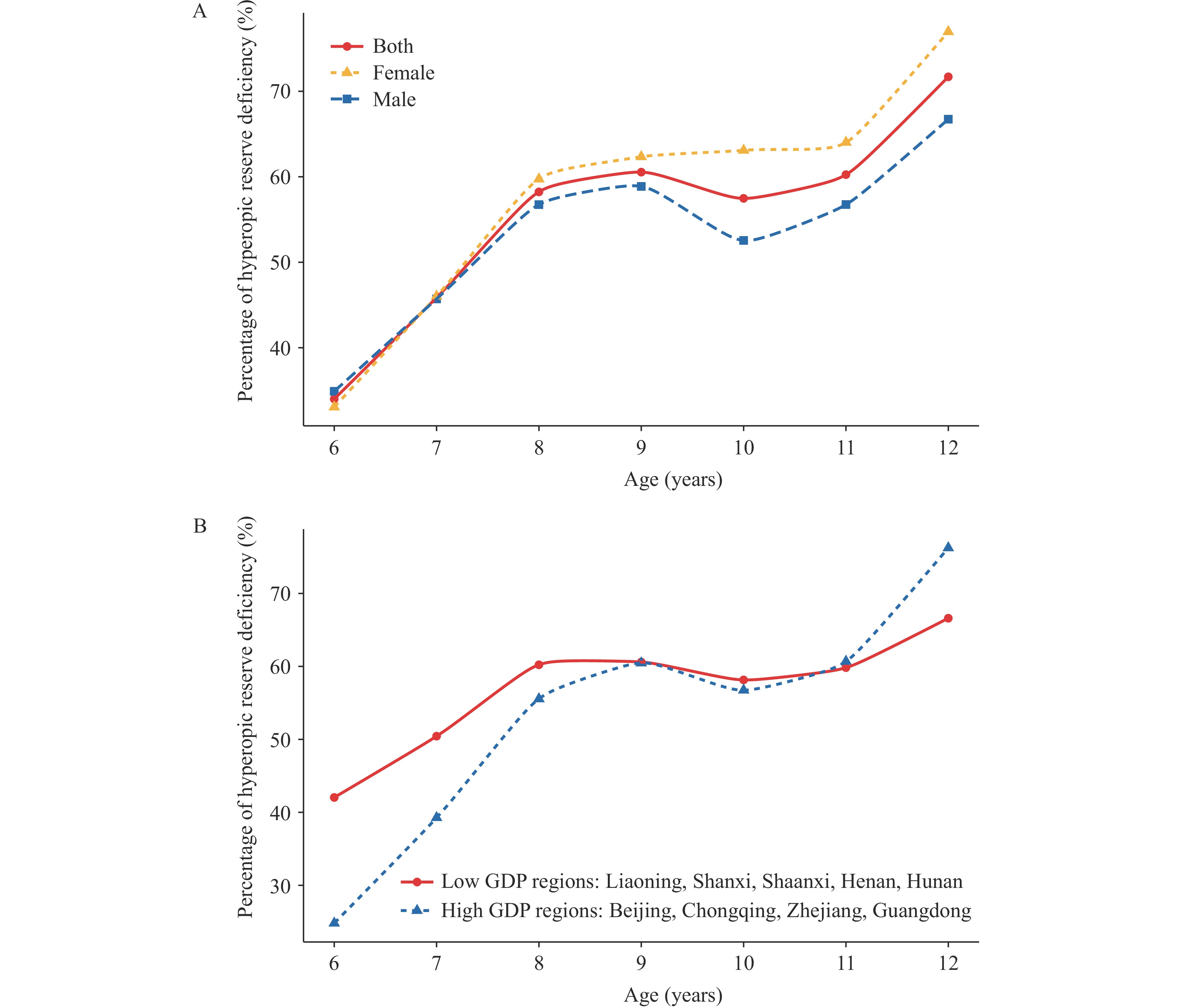
Current Status of Hyperopic Reserve Among Children and Adolescents — 10 PLADs, China, 2020–2024
Huijuan Luo, Ruoyi Gao, Ting Li, Ming Wu, Yabin Qu, Yaqing Meng, Bingjie Sun, Ran Qin, Xin Guo
2025, 7(40): 1272-1276. doi: 10.46234/ccdcw2025.215
Abstract(5336) HTML (55) PDF 354KB(1)
Abstract:
What is already known about this topic?

China exhibits a high prevalence of myopia; however, comprehensive national data based on cycloplegic refraction to assess the current status of hyperopic reserve in children and adolescents remains unavailable.

What is added by this report?

This study describes different percentiles of spherical equivalent (SE) after cycloplegic refraction for children and adolescents aged 5–18 years across 10 provincial-level administrative divisions (PLADs) and cities in China. SE values declined progressively with age in both males and females, with females demonstrating significantly lower median SE values than males beginning at age 10.

What are the implications for public health practice?

Hyperopic reserve requires systematic monitoring, particularly among females approaching puberty and younger children. Early surveillance by relevant departments is strongly recommended to support comprehensive myopia prevention and control strategies.

Regional Heterogeneity in Screen Time and Usage Habits Associated with Insufficient Hyperopic Reserve in Schoolchildren — 9 PLADs, China, 2020–2024
Yuwei Zhang, Huijuan Luo, Shuaixing Song, Ran Qin, Yanhua Chen, Ming Wu, Liru Wang, Ciyong Lu, Xin Guo
2025, 7(40): 1277-1283. doi: 10.46234/ccdcw2025.216
Abstract(4025) HTML (50) PDF 375KB(5)
Abstract:
What is already known about this topic?

Insufficient hyperopic reserve serves as a preclinical indicator of myopia development and is influenced by socioeconomic factors and behavioral patterns. However, region-specific risk profiles remain inadequately characterized.

What is added by this report?

This nationwide investigation demonstrates substantial regional heterogeneity in myopia risk factors. Children residing in low-gross domestic product (GDP) regions exhibit significantly stronger associations between screen time usage and poor screen habits with insufficient hyperopic reserve. This relationship is most pronounced among girls in low-GDP areas.

What are the implications for public health practice?

Public health interventions should prioritize targeted screen use guidance for children, particularly girls in socioeconomically disadvantaged regions, to effectively protect visual health and prevent myopia progression.

Methods and Applications
Predicting Cycloplegic Spherical Equivalent Refraction Among Children and Adolescents Using Non-cycloplegic Data and Machine Learning — China, 2020–2024
Keke Liu, Ran Qin, Huijuan Luo, Huining Kuang, Ranbo E, Chenyu Zhang, Bingjie Sun, Xin Guo
2025, 7(40): 1284-1289. doi: 10.46234/ccdcw2025.217
Abstract(4365) HTML (55) PDF 496KB(2)
Abstract:
Introduction

Cycloplegic refraction is the gold standard for assessing refractive error in children. However, logistical constraints hinder its implementation in large-scale surveys.

Methods

Data obtained from a nationwide ocular health survey conducted in ten provincial-level administrative divisions in China were analyzed (2020–2024). Participants aged 5–18 years underwent standardized non-cycloplegic and cycloplegic autorefraction, axial length (AL), corneal radius (CR), and AL/CR measurements. Random forest and XGBoost models were trained to predict the cycloplegic spherical equivalent (SE) using non-cycloplegic SE, uncorrected visual acuity (UCVA), and biometric parameters. Performance was evaluated using R2, root mean square error (RMSE), and Bland–Altman analysis.

Results

Both models exhibited strong predictive performance. In the test set, random forest achieved R2=0.88 and RMSE=0.55 diopter (D), whereas XGBoost achieved R2=0.89 and RMSE=0.54 D. Non-cycloplegic SE, AL/CR ratio, AL, and UCVA were consistently the top predictors. The predicted SE exhibited strong agreement with the cycloplegic SE, with minimal residual bias.

Conclusion

Machine learning models incorporating noncycloplegic SE and ocular biometrics accurately estimate cycloplegic SE in children and adolescents, providing a practical alternative for large-scale refractive-error surveillance when cycloplegia is impractical.