Advanced Search

Methods and Applications: A Novel Adaptive Design Approach for Early-Phase Clinical Trials to Optimize Vaccine Dosage

View author affiliations
  • Abstract

    Introduction

    Vaccines are a cornerstone of global health, with their efficacy and safety dependent on appropriate dosage determination. Early-phase vaccination trials face significant challenges due to minimal toxicity and nonmonotonic dose response curves, creating a major obstacle in vaccine development. To address this gap, we propose a novel Bayesian phase I/II trial design for dose response curves exhibiting plateau or unimodal patterns to identify the optimal biological dose (OBD), effectively balancing efficacy and toxicity.

    Methods

    We employ a logistic dose-efficacy design that makes dose-escalation and de-escalation decisions while simultaneously considering both efficacy and safety parameters. Extensive simulation studies evaluate the performance of this design.

    Results

    Comparative analyses with commonly used vaccine dose-finding designs demonstrate that our method excels in identifying the optimal toxicity-efficacy trade-off, offering both simplicity and accuracy. Sensitivity analyses across various prior settings confirm the robustness and efficiency of our approach. Additionally, our design provides a user-friendly framework for clinicians, with superior operating performance compared to existing designs, particularly in terms of accuracy and robustness.

    Discussion

    Our innovative Bayesian design represents a significant advancement in addressing the inherent challenges of early-phase vaccination clinical trials, offering improved accuracy and efficacy in vaccine dosage determination.

  • loading...
  • Conflicts of interest: No conflicts of interest.
  • Funding: Supported by the National Natural Science Foundation of China (Project Nos. 82404383 to Mengyi Lu, 82173620 and 82373690 to Yang Zhao, 82204156 to Dongfang You, and 82473732 to Fang Shao)
  • [1] Alving CR. Design and selection of vaccine adjuvants: animal models and human trials. Vaccine 2002;20 Suppl 3:S56-64. http://dx.doi.org/10.1016/S0264-410X(02)00174-3.
    [2] Rhodes SJ, Knight GM, Kirschner DE, White RG, Evans TG. Dose finding for new vaccines: the role for immunostimulation/immunodynamic modelling. J Theor Biol 2019;465:51 − 5. https://doi.org/10.1016/j.jtbi.2019.01.017.
    [3] Callegaro A, Karkada N, Aris E, Zahaf T. Vaccine clinical trials with dynamic borrowing of historical controls: two retrospective studies. Pharm Stat 2023;22(3):475 − 91. https://doi.org/10.1002/pst.2283.
    [4] Riviere MK, Yuan Y, Jourdan JH, Dubois F, Zohar S. Phase I/II dose-finding design for molecularly targeted agent: Plateau determination using adaptive randomization. Stat Methods Med Res 2018;27(2):466 − 79. https://doi.org/10.1177/0962280216631763.
    [5] Yan F, Thall PF, Lu KH, Gilbert MR, Yuan Y. Phase I-II clinical trial design: a state-of-the-art paradigm for dose finding. Ann Oncol 2018;29(3):694 − 9. https://doi.org/10.1093/annonc/mdx795.
    [6] Yuan Y, Wu J, Gilbert MR. BOIN: a novel Bayesian design platform to accelerate early phase brain tumor clinical trials. Neuro Oncol Pract 2021;8(6):627 − 38. https://doi.org/10.1093/nop/npab035.
    [7] Zhou YH, Lee JJ, Yuan Y. A utility-based Bayesian optimal interval (U-BOIN) phase I/II design to identify the optimal biological dose for targeted and immune therapies. Stat Med 2019;38(28):5299 − 316. https://doi.org/10.1002/sim.8361.
    [8] Wang CG, Rosner GL, Roden RBS. A Bayesian design for phase I cancer therapeutic vaccine trials. Stat Med 2019;38(7):1170 − 89. https://doi.org/10.1002/sim.8021.
    [9] Lin RT, Yin GS. STEIN: A simple toxicity and efficacy interval design for seamless phase I/II clinical trials. Stat Med 2017;36(26):4106 − 20. https://doi.org/10.1002/sim.7428.
    [10] Hoering A, Mitchell A, LeBlanc M, Crowley J. Early phase trial design for assessing several dose levels for toxicity and efficacy for targeted agents. Clin Trials 2013;10(3):422 − 9. https://doi.org/10.1177/1740774513480961.
    [11] Simon R. Clinical trial designs for therapeutic cancer vaccines. In: Khleif SN, editor. Tumor immunology and cancer vaccines. New York: Springer. 2005; p. 339-50. http://dx.doi.org/10.1007/0-387-27545-2_14.
    [12] Wages NA, Slingluff CL Jr. Flexible phase I-II design for partially ordered regimens with application to therapeutic cancer vaccines. Stat Biosci 2020;12(2):104 − 23. https://doi.org/10.1007/s12561-019-09245-3.
    [13] Gelman A, Jakulin A, Pittau MG, Su YS. A weakly informative default prior distribution for logistic and other regression models. Ann Appl Stat 2008;2(4):1360 − 83. https://doi.org/10.1214/08-aoas191.
    [14] Wassil J, Sisti M, Fairman J, Davis M, Fierro C, Bennett S, et al. Evaluating the safety, tolerability, and immunogenicity of a 24-valent pneumococcal conjugate vaccine (VAX-24) in healthy adults aged 18 to 64 years: a phase 1/2, double-masked, dose-finding, active-controlled, randomised clinical trial. Lancet Infect Dis 2024;24(3):308 − 18. https://doi.org/10.1016/S1473-3099(23)00572-8.
    [15] Kurzrock R, Lin CC, Wu TC, Hobbs BP, Pestana RC, Hong DS. Moving beyond 3+3: the future of clinical trial design. Am Soc Clin Oncol Educ Book 2021;41:e133 − 44. https://doi.org/10.1200/EDBK_319783.
  • FIGURE 1.  Dose escalation decision flow chart.

    Note: φ means the lower boundary of efficacy rate.

    Abbreviation: OBD=optimal biological dose.

    FIGURE 2.  Six dose-toxicity and dose-efficacy scenarios considered in the simulation study. A–F represent scenarios 1–6, respectively.

    Note: The red solid line represents DLT rate $ \rho $; the blue dashed line represents the immune response probability $ \tau $; the horizontal dashed line represents at $ \pi $= 0.2.

    FIGURE 3.  Results of sensitivity analysis for different prior settings. A shows the percentage of correct dose selection, B shows the average percentage of participants treated at each dose level under different prior settings.

    Note: Different colors represent different prior distributions.

    Abbreviation: OBD=optimal biological dose.

    TABLE 1.  Percentages of the different doses selected, the average percentages of participants treated at each dose level, and the average percentages of DLTs and immune responses.

    Design       Dose level     Efficacy
    (%)
    Toxicity
    (%)
      1 2 3 4 5 No*
    Scenario 1
      True efficacy 0.800 0.400 0.200 0.100 0.050      
      True toxicity 0.050 0.100 0.150 0.200 0.300      
    Logistic Selection (%) 79.2 11.8 3.6 2.4 2.8 0.2 61.9 9.7
      Patients(%) 71.3 7.9 3.7 3.4 13.7      
    3+3 Selection (%) 9.0 17.3 20.4 25.5 25.5 2.4 14.7
      Patients(%) 21.7 23.0 22.4 18.8 14.1      
    EffTox Selection (%) 99.0 0 0 0 0 1.0
      Patients(%) 99.0 0 0 0 0      
    Scenario 2
      True efficacy 0.800 0.400 0.200 0.200 0.200      
      True toxicity 0.050 0.100 0.150 0.200 0.300      
    Logistic Selection (%) 74.7 9.5 5.3 5.7 4.6 0.2 61.5 10.8
      Patients(%) 67.2 5.9 4.3 6.2 16.5      
    3+3 Selection (%) 9.1 16.9 20.6 25.2 25.6 2.7 14.7
      Patients(%) 21.7 23.0 22.3 19.0 14.0      
    EffTox Selection (%) 99.0 0 0 0 0 1.0
      Patients(%) 98.7 0.3 0 0 0      
    Scenario 3
      True efficacy 0.100 0.200 0.400 0.800 0.400      
      True toxicity 0.025 0.050 0.100 0.200 0.400      
    Logistic Selection (%) 10.7 2.8 21.1 51.6 8.9 5.0 46.0 19.4
      Patients(%) 24.2 2.5 11.4 34.7 27.2      
    3+3 Selection (%) 2.4 9.1 25.9 42.8 19.0 0.7 15.2
      Patients(%) 19.5 20.4 22.1 22.0 16.1      
    EffTox Selection (%) 11.0 25.0 32.0 20.0 5.0 7.0
      Patients(%) 28.7 26.3 21.7 12.7 6.0      
    Scenario 4
      True efficacy 0.045 0.090 0.180 0.350 0.700      
      True toxicity 0.030 0.060 0.090 0.120 0.150      
    Logistic Selection (%) 3.5 1.3 3.9 19.4 63.6 8.3 51.4 12.3
      Patients(%) 15.5 1.5 3.8 15.1 64.1      
    3+3 Selection (%) 3.8 7.3 11.2 14.6 62.1 1.0 9.3
      Patients(%) 19.6 20.8 21.0 20.2 18.4      
    EffTox Selection (%) 1.0 4.0 20.0 13.0 41.0 21.0
      Patients(%) 16.0 15.0 21.7 13.3 20.0      
    Scenario 5
      True efficacy 0.180 0.350 0.700 0.700 0.700      
      True toxicity 0.010 0.050 0.100 0.300 0.600      
    Logistic Selection (%) 12.8 10.7 53.1 22.0 0.1 1.3 55.6 19.6
      Patients(%) 23.4 6.4 29.3 27.9 13.0      
    3+3 Selection (%) 2.5 9.5 43.3 41.1 3.4 0.1 17.4
      Patients(%) 19.8 21.7 23.1 24.3 11.1      
    EffTox Selection (%) 38.0 28.0 26.0 6.0 1.0 2.0
      Patients(%) 49.0 27.3 14.7 6.3 1.0      
    Scenario 6
      True efficacy 0.005 0.010 0.050 0.100 0.150      
      True toxicity 0.050 0.100 0.150 0.200 0.300      
    Logistic Selection (%) 0.4 0.1 0.9 8.5 7.2 82.9 7.4 17.0
      Patients(%) 35.6 2.0 8.6 24.2 29.5      
    3+3 Selection (%) 9.8 16.7 21.2 24.5 24.8 2.9 14.7
      Patients(%) 21.9 23.4 22.3 18.7 13.7      
    EffTox Selection (%) 0 0 1.0 5.0 9.0 85.0
      Patients(%) 10.3 10.3 10.7 10.0 7.7      
    Note: No*, the probability for declaring no OBD due to ineffectiveness; The bold values are the results of the true optimal biological dose. “−” means the method does not involve this result.
    Abbreviation: Logistic=our proposed design; 3+3=3+3 design; EffTox=EffTox design; Selection (%)=the percentage of correct OBD selection; Patients (%)=the average percentage of patient allocation at the correct OBD; Efficacy (%)=the average percentages of immune responses; Toxicity (%): the average percentages of DLTs; OBD=optimal biological dose; DLT=dose-limiting toxicity.
    Download: CSV

Citation:

通讯作者: 陈斌, bchen63@163.com
  • 1. 

    沈阳化工大学材料科学与工程学院 沈阳 110142

  1. 本站搜索
  2. 百度学术搜索
  3. 万方数据库搜索
  4. CNKI搜索
Turn off MathJax
Article Contents

Article Metrics

Article views(6742) PDF downloads(7) Cited by()

Share

Related

A Novel Adaptive Design Approach for Early-Phase Clinical Trials to Optimize Vaccine Dosage

View author affiliations

Abstract

Introduction

Vaccines are a cornerstone of global health, with their efficacy and safety dependent on appropriate dosage determination. Early-phase vaccination trials face significant challenges due to minimal toxicity and nonmonotonic dose response curves, creating a major obstacle in vaccine development. To address this gap, we propose a novel Bayesian phase I/II trial design for dose response curves exhibiting plateau or unimodal patterns to identify the optimal biological dose (OBD), effectively balancing efficacy and toxicity.

Methods

We employ a logistic dose-efficacy design that makes dose-escalation and de-escalation decisions while simultaneously considering both efficacy and safety parameters. Extensive simulation studies evaluate the performance of this design.

Results

Comparative analyses with commonly used vaccine dose-finding designs demonstrate that our method excels in identifying the optimal toxicity-efficacy trade-off, offering both simplicity and accuracy. Sensitivity analyses across various prior settings confirm the robustness and efficiency of our approach. Additionally, our design provides a user-friendly framework for clinicians, with superior operating performance compared to existing designs, particularly in terms of accuracy and robustness.

Discussion

Our innovative Bayesian design represents a significant advancement in addressing the inherent challenges of early-phase vaccination clinical trials, offering improved accuracy and efficacy in vaccine dosage determination.

  • 1. Department of Biostatistics, School of Public Health, Nanjing Medical University, Nanjing City, Jiangsu Province, China
  • 2. National Vaccine Innovation Platform, Nanjing Medical University, Nanjing City, Jiangsu Province, China
  • 3. Jiangsu Key Laboratory of Cancer Biomarkers, Prevention and Treatment, Collaborative Innovation Center for Cancer Personalized Medicine, Nanjing City, Jiangsu Province, China
  • Corresponding authors:

    Yang Zhao, yzhao@njmu.edu.cn

    Mengyi Lu, mylunjyk@njmu.edu.cn

  • Funding: Supported by the National Natural Science Foundation of China (Project Nos. 82404383 to Mengyi Lu, 82173620 and 82373690 to Yang Zhao, 82204156 to Dongfang You, and 82473732 to Fang Shao)
  • Online Date: April 25 2025
    Issue Date: April 25 2025
    doi: 10.46234/ccdcw2025.097
  • Vaccines are a cornerstone of global health, offering immense potential for significant clinical benefits. Recent global infectious disease outbreaks have underscored the urgent need for novel and innovative clinical trial designs. The current use of outdated methods, such as directly adopting dose-finding trials from oncology treatments, may result in suboptimal dosing decisions for vaccines. For example, early-phase oncology clinical trials have focused primarily on assessing toxicity, while most vaccines have minimal toxicity but uncertain efficacy. Therefore, the primary objective of early-phase vaccine clinical trials is to determine efficacy before toxicity. Continuing to use traditional dose-finding methods will likely lead to suboptimal dosing.

    Vaccine clinical trials are inherently more unpredictable than most first-in-human trials because of the complex and variable nature of immune system responses, which cannot be easily extrapolated from animal studies (1). Another reason for selecting suboptimal vaccine doses is the variability in dose response curves among different vaccines. For example, vaccines for HIV, malaria, adenovirus (Ad35), and influenza exhibit peaked dose response curves, indicating that there is a minimum dose that elicits no response, followed by rapid escalation and a plateau above a certain dose threshold (2).

    Current methods to optimize vaccine doses are predominantly empirical (3), whereas the drug development field employs advanced quantitative methodologies for dosing determination (47), accelerating decision-making. Numerous studies have outlined phase I clinical trial designs aimed at determining the maximum tolerable dosage (MTD) of cytotoxic anticancer drugs, based on the incidence of dose-limiting toxicity (DLT) (8). These designs assume that the toxicity and efficacy curves of cytotoxic drugs exhibit monotonicity (9), meaning that as the dose increases, both toxicity and efficacy increase predictably (10). However, most existing dose-finding designs are unsuitable for vaccine studies without modifications because of the unique properties of vaccines and various other factors (11).

    Vaccines investigated in early-phase clinical trials aim to determine doses that are safe and immunogenic for subsequent efficacy studies. Ensuring both efficacy and safety is contingent upon appropriate dosage determination (12). To overcome the challenges mentioned above, we propose a novel Bayesian phase I/II trial design for dose-finding, specifically addressing the issues of minimal toxicity and nonmonotonic dose response curves. Our method separately models efficacy and toxicity and is tailored for dose response curves exhibiting plateaued or unimodal patterns. The participants are adaptively assigned to the dose that optimizes both the efficacy and safety profiles. Our design is computationally easy to implement and facilitates clear and straightforward decision-making for dose escalation and de-escalation.

    The remainder of the article is organized as follows. In Section 2, we introduce the novel Bayesian phase I/II trial design. Section 3 details a simulation study that investigates the operating characteristics of our proposed design and compares it with existing designs. The interpretation of the simulation results is provided in Section 4. Section 5 conducts a sensitivity analysis to evaluate the robustness of our proposed design. Finally, we conclude with a discussion in Section 6.

    • We assume that the number of individuals experiencing DLT events at dose level $ i $, denoted by $ {x}_{i} $, follows a binomial distribution $ binom\left({n}_{i},\rho \right) $, where $ {n}_{i} $ is the sample size at dose level $ i $ and $ \rho $ is the true, but unknown, toxicity probability. To incorporate prior knowledge, we specify a $ \text{beta}\left(\alpha ,\beta \right) $ prior distribution for $ \rho $ (detailed rationale is provided at Supplementary Material).

      Based on the observed data $ {x}_{i} $ and $ {n}_{i} $ from the trial, we construct the likelihood function. Using Bayesian updating, we derive the posterior distribution of $ \rho $ as $ \text{beta}\left(\alpha +{x}_{i},\beta +{n}_{i} -{x}_{i}\right) $, from which the posterior probability $ P\left(\rho > \pi |\mathit{H}\right) $ is calculated, where $ \pi $ represents the target toxicity rate and $ \mathit{H} $ denotes the accumulated trial data. To ensure monotonicity in toxicity, isotonic transformation is applied to the probability. If $ P\left(\rho > \pi |\mathit{H}\right) $ exceeds the prespecified toxicity threshold T, the current dose level $ i $ is deemed excessively toxic. Consequently, this dose level is excluded from further consideration for subsequent participant cohorts, ensuring participant safety and optimizing dose selection.

    • We assume that $ {y}_{i} $ out of $ {n}_{i} $ individuals experience efficacy at dose level $ i $, where $ {\tau }_{i} $ is the efficacy probability and $ {d}_{i} $ denotes the dosage at dose level $ i $. Additionally, we specify a lower boundary of the efficacy rate $ \phi $ for futility monitoring. For the efficacy endpoint, we employ a logistic regression model specified as follows:

      $$ \mathrm{log}\left(\frac{{\tau }_{i}}{\left(1-{\tau }_{i}\right)}\right)=a+b \times {d}_{i}+c\times {d}_{i}^{2},i=1,\dots ,I $$ (1)

      The detailed mathematical derivation and explanation for efficacy monitoring are provided at Supplementary Material.

      In the Bayesian framework, we specify the Cauchy distribution for the unknown parameters following Gelman’s recommendation (13):

      $$ a\sim Cauchy \left(0, 10\right) $$
      $$ b\sim Cauchy \left(0, 2.5\right) $$
      $$ c\sim Cauchy (0, 2.5) $$

      The likelihood function $ L\left(H|a, b,c\right) $ is proportional to:

      $$ {\prod }_{i=1}^{I}{\left(\frac{{e}^{a+b\times {d}_{i}+c\times {d}_{i}^{2}}}{1+{e}^{a+b\times {d}_{i}+c\times {d}_{i}^{2}}}\right)}^{{y}_{i}}{\left(\frac{1}{1+{e}^{a+b\times {d}_{i}+c\times {d}_{i}^{2}}}\right)}^{{n}_{i}-{y}_{i}} $$ (2)

      By integrating the prior distribution with the likelihood function and employing Markov Chain Monte Carlo (MCMC) sampling, we derive posterior distributions for the parameters: a, b, and c, where convergence diagnostics are conducted using trace plots. Leveraging this model, we predict the dose associated with peak efficacy given the current dataset, thus providing guidance for dose decision-making.

    • The proposed Bayesian logistic dose-finding method follows a systematic approach:

      Initial cohort treatment: Administer the first cohort of participants at the lowest dose or a prespecified dose level $ i $.

      Interim data collection: At dose level $ i $, collect interim data where $ {n}_{i} $ patients have been treated (calculated as the cohort size multiplied by the number of recruited cohorts), with $ {x}_{i} $ experiencing toxicity and $ {y}_{i} $ showing an immune response.

      Toxicity monitoring: Based on the interim data, identify doses where $ P\left(\rho > \pi |\mathit{H}\right) $<T and consider them as safe doses. If no safe dose is identified, the trial should be terminated, and no optimal biological dose (OBD) should be declared.

      Efficacy monitoring: Determine the dose level $ {i}^{*} $ with the highest posterior estimate of efficacy probability τ to treat the next cohort.

      Iteration: Steps 2 and 3 are repeated until the maximum sample size is reached. At the end of the trial, the posterior estimate of the efficacy probability τ of all doses is calculated based on the final dataset.

      OBD selection: Select the final OBD using the following criteria:

      a. If τ > φ, declare the dose with an efficacy probability of τ as the OBD.

      b. If τ < φ , declare no OBD due to ineffectiveness.

      The dose escalation process is illustrated in a flow chart (Figure 1).

      Figure 1. 

      Dose escalation decision flow chart.

      Note: φ means the lower boundary of efficacy rate.

      Abbreviation: OBD=optimal biological dose.

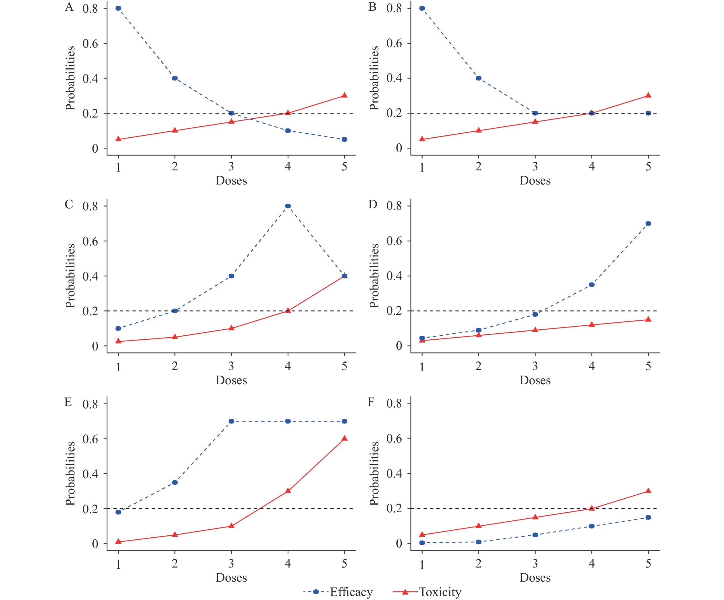
    • To evaluate the performance of our proposed design, we conducted extensive simulation studies across six distinct scenarios (Figure 2). These scenarios were carefully selected to comprehensively assess the proposed method under typical conditions encountered in phase I/II clinical trials. We based our scenario settings on a vaccine trial example (14) (Supplementary Materials). Across all scenarios, dose-toxicity curves were assumed to increase monotonically, while we considered various dose-response relationships that might occur in vaccine clinical trials. For all scenarios, we specified a target toxicity rate of $ \pi =0.2 $, a prespecified toxicity threshold of $ T=0.8 $, and a lower boundary of the efficacy rate $ \phi =0.2 $. The simulations employed a cohort size of 3 participants with a maximum of 30 participants for the entire trial.

      Figure 2. 

      Six dose-toxicity and dose-efficacy scenarios considered in the simulation study. A–F represent scenarios 1–6, respectively.

      Note: The red solid line represents DLT rate $ \rho $; the blue dashed line represents the immune response probability $ \tau $; the horizontal dashed line represents at $ \pi $= 0.2.
    • We conducted simulation studies across six scenarios, each with 5,000 replications, to evaluate the performance of our proposed Bayesian logistic dose-finding method compared with the traditional 3+3 design (15) and the EffTox design (5). For each simulation, we report the percentages of different doses selected, the average percentages of participants treated at each dose, and the average percentages of DLTs and immune responses (Supplementary Materials). Overall, while the EffTox design achieved near-perfect metrics in certain scenarios, it demonstrated significant instability and variability across different scenarios. Similarly, the 3+3 design showed inadequate performance in both OBD identification and participant allocation. In contrast, our proposed Bayesian logistic dose-finding method demonstrated superior performance across all scenarios, accurately identifying the OBD, optimizing participant allocation, and maintaining robustness across diverse clinical situations.

      Design       Dose level     Efficacy
      (%)
      Toxicity
      (%)
        1 2 3 4 5 No*
      Scenario 1
        True efficacy 0.800 0.400 0.200 0.100 0.050      
        True toxicity 0.050 0.100 0.150 0.200 0.300      
      Logistic Selection (%) 79.2 11.8 3.6 2.4 2.8 0.2 61.9 9.7
        Patients(%) 71.3 7.9 3.7 3.4 13.7      
      3+3 Selection (%) 9.0 17.3 20.4 25.5 25.5 2.4 14.7
        Patients(%) 21.7 23.0 22.4 18.8 14.1      
      EffTox Selection (%) 99.0 0 0 0 0 1.0
        Patients(%) 99.0 0 0 0 0      
      Scenario 2
        True efficacy 0.800 0.400 0.200 0.200 0.200      
        True toxicity 0.050 0.100 0.150 0.200 0.300      
      Logistic Selection (%) 74.7 9.5 5.3 5.7 4.6 0.2 61.5 10.8
        Patients(%) 67.2 5.9 4.3 6.2 16.5      
      3+3 Selection (%) 9.1 16.9 20.6 25.2 25.6 2.7 14.7
        Patients(%) 21.7 23.0 22.3 19.0 14.0      
      EffTox Selection (%) 99.0 0 0 0 0 1.0
        Patients(%) 98.7 0.3 0 0 0      
      Scenario 3
        True efficacy 0.100 0.200 0.400 0.800 0.400      
        True toxicity 0.025 0.050 0.100 0.200 0.400      
      Logistic Selection (%) 10.7 2.8 21.1 51.6 8.9 5.0 46.0 19.4
        Patients(%) 24.2 2.5 11.4 34.7 27.2      
      3+3 Selection (%) 2.4 9.1 25.9 42.8 19.0 0.7 15.2
        Patients(%) 19.5 20.4 22.1 22.0 16.1      
      EffTox Selection (%) 11.0 25.0 32.0 20.0 5.0 7.0
        Patients(%) 28.7 26.3 21.7 12.7 6.0      
      Scenario 4
        True efficacy 0.045 0.090 0.180 0.350 0.700      
        True toxicity 0.030 0.060 0.090 0.120 0.150      
      Logistic Selection (%) 3.5 1.3 3.9 19.4 63.6 8.3 51.4 12.3
        Patients(%) 15.5 1.5 3.8 15.1 64.1      
      3+3 Selection (%) 3.8 7.3 11.2 14.6 62.1 1.0 9.3
        Patients(%) 19.6 20.8 21.0 20.2 18.4      
      EffTox Selection (%) 1.0 4.0 20.0 13.0 41.0 21.0
        Patients(%) 16.0 15.0 21.7 13.3 20.0      
      Scenario 5
        True efficacy 0.180 0.350 0.700 0.700 0.700      
        True toxicity 0.010 0.050 0.100 0.300 0.600      
      Logistic Selection (%) 12.8 10.7 53.1 22.0 0.1 1.3 55.6 19.6
        Patients(%) 23.4 6.4 29.3 27.9 13.0      
      3+3 Selection (%) 2.5 9.5 43.3 41.1 3.4 0.1 17.4
        Patients(%) 19.8 21.7 23.1 24.3 11.1      
      EffTox Selection (%) 38.0 28.0 26.0 6.0 1.0 2.0
        Patients(%) 49.0 27.3 14.7 6.3 1.0      
      Scenario 6
        True efficacy 0.005 0.010 0.050 0.100 0.150      
        True toxicity 0.050 0.100 0.150 0.200 0.300      
      Logistic Selection (%) 0.4 0.1 0.9 8.5 7.2 82.9 7.4 17.0
        Patients(%) 35.6 2.0 8.6 24.2 29.5      
      3+3 Selection (%) 9.8 16.7 21.2 24.5 24.8 2.9 14.7
        Patients(%) 21.9 23.4 22.3 18.7 13.7      
      EffTox Selection (%) 0 0 1.0 5.0 9.0 85.0
        Patients(%) 10.3 10.3 10.7 10.0 7.7      
      Note: No*, the probability for declaring no OBD due to ineffectiveness; The bold values are the results of the true optimal biological dose. “−” means the method does not involve this result.
      Abbreviation: Logistic=our proposed design; 3+3=3+3 design; EffTox=EffTox design; Selection (%)=the percentage of correct OBD selection; Patients (%)=the average percentage of patient allocation at the correct OBD; Efficacy (%)=the average percentages of immune responses; Toxicity (%): the average percentages of DLTs; OBD=optimal biological dose; DLT=dose-limiting toxicity.

      Table 1.  Percentages of the different doses selected, the average percentages of participants treated at each dose level, and the average percentages of DLTs and immune responses.

    • To assess the robustness of our proposed design under different conditions, we conducted a sensitivity analysis by varying prior distributions and sample sizes. The consistency of the OBD selection results highlighted the model’s flexibility and reliability in guiding dose-finding decisions.

    • We tested the impact of different prior distributions by modifying the scale parameters of a, b to values of (1,2,3,4,5) according to Andrew Gelman (13). As shown in Figure 3, regardless of variations in the prior parameters, the final results remained largely consistent across all simulation scenarios. Changes in scale parameter did not significantly affect either the selection of the OBD or the average percentage of participants treated at the OBD. These results indicate that our design is relatively insensitive to variations in the prior distribution within the tested range. The underlying data tables are shown in Supplementary Table S1.

      Figure 3. 

      Results of sensitivity analysis for different prior settings. A shows the percentage of correct dose selection, B shows the average percentage of participants treated at each dose level under different prior settings.

      Note: Different colors represent different prior distributions.

      Abbreviation: OBD=optimal biological dose.

    • We also evaluated the impact of different sample sizes by increasing the sample sizes to ranges of 30 and 120 participants in four representative simulation settings, corresponding to scenarios presented in Figure 2. Supplementary Figure S1 shows that larger sample sizes resulted in a stable or higher average percentage of OBD selections, suggesting that more extensive data collection improves both the precision and stability of dosage decision-making. The underlying data tables are shown in Supplementary Table S2.

      The sensitivity analysis demonstrates that our proposed design maintains consistent performance despite variations in prior distributions and sample sizes, highlighting its reliability and stability under different conditions.

    • Vaccines are fundamental to global health efforts and offer significant clinical benefits. Early-phase clinical trials are crucial for identifying doses that are both safe and immunogenic, establishing the foundation for subsequent efficacy studies. However, these trials face significant challenges, including minimal toxicity within dose ranges and nonmonotonic dose response curves. Existing dose-finding designs often prove inadequate or require substantial modifications to address the unique properties of vaccines. In this study, we proposed a novel Bayesian phase I/II trial design specifically tailored for vaccine dose-finding. Given that current methods for optimizing vaccine doses are predominantly empirical, we compared our approach with the traditional 3+3 design and the EffTox design. Our results demonstrated that our method excels in balancing the toxicity–efficacy trade-off and optimally allocating participants. The proposed design offers simplicity and accuracy, providing a more effective alternative to traditional methods. Additionally, extensive sensitivity analyses across various prior settings confirmed the robustness and efficiency of our approach, underscoring its reliability in different scenarios. By offering a more precise and reliable framework for dose determination, our Bayesian design addresses the inherent challenges of early-phase vaccination trials, promising enhanced efficacy and safety in vaccine dosage determination.

  • Conflicts of interest: No conflicts of interest.
  • Reference (15)

    Citation:

    Catalog

      /

      DownLoad:  Full-Size Img  PowerPoint
      Return
      Return